DomoPhoto
Архітэктурная
фотабаза

Iнфармацыя аб малюнку

563

Ідэнтыфікатар малюнка:341067
Памер файла:563 КБ
Аўтар:Краснодарская панелька
Апублікавана:24.03.2026 18:20 MSK
Знаходзіцца на сайце, дзён:5
Унікальных праглядаў:9
Каментарыяў:0

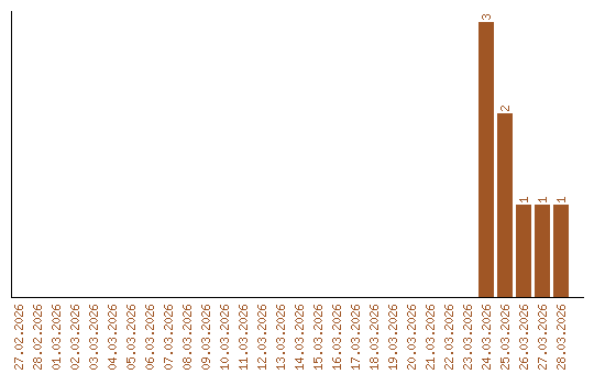
Дынаміка праглядаў па датах