ДомоФото
Архитектурная
фотобаза

Информация об изображении

1633

Идентификатор изображения:337569
Размер файла:1633 КБ
Автор:DartMeow
Опубликовано:21.02.2026 16:56 MSK
Находится на сайте, дней:28
Уникальных просмотров:12
Комментариев:0

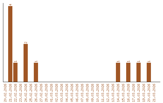
Динамика просмотров по датам