ДомоФото
Архитектурная
фотобаза

Информация об изображении

1618

Идентификатор изображения:329235
Размер файла:1618 КБ
Автор:Roman_Nurm
Опубликовано:01.12.2025 18:33 MSK
Находится на сайте, дней:65
Уникальных просмотров:41
Комментариев:1

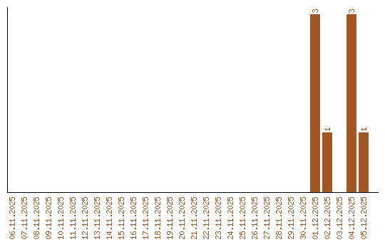
Динамика просмотров по датам