DomoPhoto
Arhitektuuri
fotoandmebaas

Информация об изображении

1208

Идентификатор изображения:327247
Размер файла:1208 KB
Автор:Дмитрий Михайлов
Опубликовано:10.11.2025 03:56 MSK
Находится на сайте, дней:141
Уникальных просмотров:48
Комментариев:0

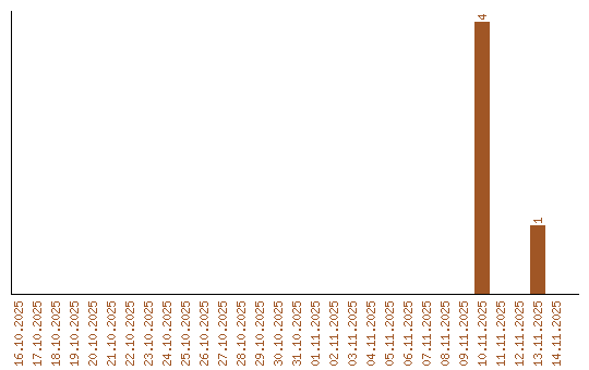
Динамика просмотров по датам